怎么理解直流電源供電的單相半波整流電路?
2018-4-16 15:31:25??????點擊:
在電子電路中工作時,大多數都要使用直流電源供電。整流電路的工作原理是利用電子元器件的單向導電性,將具有正負兩個極性的交流電變成只有一個極性的直流電源電流。整流電路分為單相和三相兩種,這里我們來介紹一下單相整流電路的一些基本知識。
單相整流電路主要單相半波整流、單相全波整流和單相橋式整流。下面加以介紹。
單相半波整流電路由變壓器T、整流二極管D和負載電阻RL組成。如圖1所示。變壓器T將220V的工頻交流電,u2降為幾伏或十幾伏的交流電,是變壓器T副邊輸出直流電源電壓。

電路利用二極管的單向導電性進行整流。在U2的正半周,二極管D正向導通。電流從變壓器副邊線圈的上端流出,經二極管D,流過負載電阻RL,流回變壓器副邊線圈的下端。輸出電壓UL為正弦波的正半周。
在U2的負半周,二極管D反向截止。整流回路中沒有電流,輸出電壓UL為零。
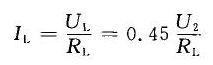
輸出信號uL的波形如圖1(b)所示。從圖中可以看出,輸出信號UL是一個半波脈動的直流電源信號。如果我們忽略二極管的正向導通壓降和變壓器的內阻,則在一個周期內,它的平均值為

式中,U2是變壓器副邊電壓U2的有效值。負載電流iL的平均值

流過二極管的平均電流

圖1(b)中的UD為二極管D承受的反向電壓,其最大值為

單相半波整流電路的優點是結構簡單,使用元件少。但其輸出直流電源電壓脈動成分大,只有半波被利用。因而只適用于一些要求較低的場合。單相半波整流電路的優點是結構簡單,使用元件少。但其輸出直流電源電壓脈動成分大,只有半波被利用。因而只適用于一些要求較低的場合。
單相整流電路主要單相半波整流、單相全波整流和單相橋式整流。下面加以介紹。
單相半波整流電路由變壓器T、整流二極管D和負載電阻RL組成。如圖1所示。變壓器T將220V的工頻交流電,u2降為幾伏或十幾伏的交流電,是變壓器T副邊輸出直流電源電壓。

電路利用二極管的單向導電性進行整流。在U2的正半周,二極管D正向導通。電流從變壓器副邊線圈的上端流出,經二極管D,流過負載電阻RL,流回變壓器副邊線圈的下端。輸出電壓UL為正弦波的正半周。
在U2的負半周,二極管D反向截止。整流回路中沒有電流,輸出電壓UL為零。
輸出信號uL的波形如圖1(b)所示。從圖中可以看出,輸出信號UL是一個半波脈動的直流電源信號。如果我們忽略二極管的正向導通壓降和變壓器的內阻,則在一個周期內,它的平均值為

式中,U2是變壓器副邊電壓U2的有效值。負載電流iL的平均值

流過二極管的平均電流

圖1(b)中的UD為二極管D承受的反向電壓,其最大值為

單相半波整流電路的優點是結構簡單,使用元件少。但其輸出直流電源電壓脈動成分大,只有半波被利用。因而只適用于一些要求較低的場合。單相半波整流電路的優點是結構簡單,使用元件少。但其輸出直流電源電壓脈動成分大,只有半波被利用。因而只適用于一些要求較低的場合。
- 上一篇:選擇直流穩壓電源轉換模塊的關鍵點有哪些? 2018/4/16
- 下一篇:充電機充電鉛酸蓄電池失效的主要原因和分析 2018/4/16
